⇦ 64 66 ⇨

На даній сторінці надані відповіді для
Екстра ГДЗ
- Про портал
- Privacy Policy
- copyright

На даній сторінці надані відповіді для
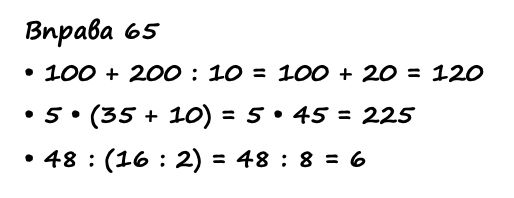
Вправа 65 Частина 1 гдз з математики 4 клас автора Листопад Н.
з розділу підручника: Розділ 1. ПОВТОРЕННЯ. ПИСЬМОВЕ МНОЖЕННЯ І ДІЛЕННЯЖиви правильно. Вчись на відмінно.
Мотиваційна фраза від Екстра ГДЗ: "Коли не виходить, спробу зробити ще раз."
Чому не обійтись без Вправа 65 Частина 1 гдз 4 клас матем Листопад?
Бо тут тільки перевірені відповіді та готові домашні завдання ГДЗ. Ці відповіді та гдз Вправа 65 Частина 1 допоможуть тобі швидко перевірити виконані завдання на чорновику. Безпосередньо у тебе є змога завжди за допомогою Екстра ГДЗ з математики для 4 класу автора Листопад Н. видавництва Оріон НУШ 2021 року вже прямо зараз братись за перевірку домашніх шкільних завдань.Готовые домашние задания и ответы для страницы или упражнения, решебник с математика 4 класс Листопад