
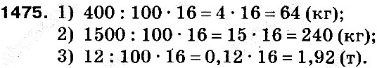
Готуйся до уроків швидко та без проблем, бо на Екстра ГДЗ правильні відповіді Вправа 1475 гдз з математики5 клас автора Н.А. Тарасенкової, І.М. Богатирьової, О.П. Бочко, О.М. Коломієць розділ підручника: § 34. Що таке відсоток. Знаходження відсотка від числа
Вчитись на відмінно дуже просто!
Достатньо виконувати домашню роботу в чорновику, а потім перевірити разом з Екстра ГДЗ 5 клас математикаТарасенкова
Вчися тільки на відмінно! Бо відповіді та гдз Вправа 1475 є перевірені і правильні. Тому у тебе є змога завжди за допомогою Екстра ГДЗ з математики для 5 класу автора Н.А. Тарасенкової, І.М. Богатирьової, О.П. Бочко, О.М. Коломієць видавництва Освіта 2013 року вже прямо зараз братись за домашні завдання.
Готовые домашние задания и ответы для страницы или упражнения, решебник с математика 5 класс Тарасенкова, Богатирева, Бочко Колоиец