⇦ 728 730 ⇨

На даній сторінці надані відповіді для
Екстра ГДЗ
- Про портал
- Privacy Policy
- copyright

На даній сторінці надані відповіді для
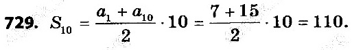
Вправа 729 гдз з алгебри 9 клас автора Істер О.С.
з розділу підручника: Розділ 3. Числові послідовностіЖиви на яскравій стороні. Вчись на відмінно.
Мотиваційна фраза від Екстра ГДЗ: "Пам’ятайте, що хороша ідея, яка прийшла в вашу голову нічого не варта, рівно до тих пір, поки не буде перевірена дією і практикою."
Чому не обійтись без Вправа 729 гдз 9 клас алгебра Істер?
Тут перевірені відповіді та готові домашні завдання ГДЗ. Ці відповіді та гдз Вправа 729 допоможуть тобі швидко звіритись з виконаними завданнями на чорновику. Безпосередньо у тебе є змога завжди за допомогою Екстра ГДЗ з алгебри для 9 класу автора Істер О.С. видавництва Генеза 2017 року вже прямо зараз братись за перевірку домашніх шкільних завдань.Готовые домашние задания и ответы для страницы или упражнения, решебник с алгебра 9 класс Истер