⇦ 983 985 ⇨

Готуватись до уроків простіше, тобі в цьому допоможе
Екстра ГДЗ
- Про портал
- Privacy Policy
- copyright

Готуватись до уроків простіше, тобі в цьому допоможе
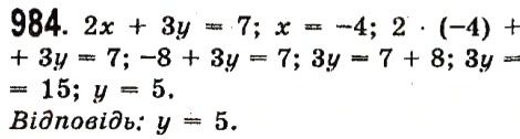
Вправа 984 гдз з алгебри 7 клас автора О.С. Істер
розділ підручника:3. Лінійні рівняння та їх функціїТут повні відповіді та готові домашні завдання ГДЗ для сьомого класу з алгебри!
Пам’ятати що ми всі смертні є найкращим шляхом щоб уникнути думки, що ви можете щось втратити. Зрозумійте прямо зараз, що нема причин щоб не слідувати поклику власного серця. Вчися і розв'язуй домашні завдання та вперед до перемоги у школі. 7 клас алгебра Істер
Отримуй завжди високі бали! Бо відповіді та гдз Вправа 984 є перевірені і правильні. Відповідно у тебе є змога завжди за допомогою Екстра ГДЗ з алгебри для 7 класу автора О.С. Істер видавництва Генеза 2015 року вже прямо зараз братись за домашні завдання.
Готовые домашние задания и ответы для страницы или упражнения, решебник с алгебра 7 класс Истер