⇦ 5 7 ⇨

Готуватись до уроків простіше, тобі в цьому допоможе
Екстра ГДЗ
- Про портал
- Privacy Policy
- copyright

Готуватись до уроків простіше, тобі в цьому допоможе
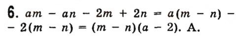
Завдання 6 Домашня самостійна робота 2 гдз з алгебри7 клас автора О.С. Істер
розділ підручника:Домашні самостійні роботиВчитись на відмінно дуже просто!
Достатньо виконувати домашню роботу в чорновику, а потім перевірити разом з Екстра ГДЗ 7 клас алгебраІстер
Отримуй завжди високі бали! Бо відповіді та гдз Завдання 6 Домашня самостійна робота 2 є перевірені і правильні. Відповідно у тебе є змога завжди за допомогою Екстра ГДЗ з алгебри для 7 класу автора О.С. Істер видавництва Генеза 2015 року вже прямо зараз братись за домашні завдання.
Готовые домашние задания и ответы для страницы или упражнения, решебник с алгебра 7 класс Истер