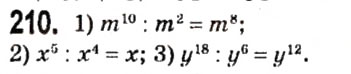
Вправа 210 алгебра 7 клас Мерзляк 2015

  1. Екстра ГДЗ
  2. 7 клас
  3. алгебра
  4. Мерзляк


⇦ 209 211 ⇨

Вправа 210 алгебра 7 клас Мерзляк 2015



Готуватись до уроків простіше, тобі в цьому допоможе

Вправа 210 гдз з алгебри 7 клас автора Мерзляк А.Г., Полонський В.Б., Якір М.С.

розділ підручника:§ 2. Цілі вирази

Повні відповіді та готові домашні завдання ГДЗ для сьомого класу з алгебри!

Всі наші мрії стануть можливими, якщо ми будемо мати сміливість слідувати за ними до кінця. Борись за кращі оцінки, борись за перемогу в будь-якому завданні. Ти чемпіон! 7 клас алгебра Мерзляк

Отримуй завжди високі бали! Бо відповіді та гдз Вправа 210 є перевірені і правильні. Відповідно у тебе є змога завжди за допомогою Екстра ГДЗ з алгебри для 7 класу автора Мерзляк А.Г., Полонський В.Б., Якір М.С. видавництва Гімназія 2015 року вже прямо зараз братись за домашні завдання.

Готовые домашние задания и ответы для страницы или упражнения, решебник с алгебра 7 класс Мерзляк, Полонский, Якир

Екстра ГДЗ - Про портал - Privacy Policy - copyright